7.2 Runaway losses

Primary generation The loss rate ΓR by primary runaway generation is also an important physical quantity that can be determined by the code. It becomes significant when the Ohmic electric field is large. For the benchmarking procedure, the Ohmic electric field is then set to E = 0.08, which corresponds to a standard value for such studies. Usually, runaway losses become significant above E = 0.03. All other parameters are kept constant as compared to the benchmarking procedure done for the Ohmic conductivity in Sec. 7.1. In the tokamak parameter M-file “ptok_dke_1yp.m”, the corresponding section for these simulations is named “CQL3D_RUNAWAY”, since it corresponds to conditions that have been used for code comparison with the well know CQL3D program ([?]). By definition, the code is no more conservative since runaway electrons are leaving the domain of integration. Consequently, the particle losses must be compensated in order to keep constant the total number of particle. Consequently, the same Maxwellian solution is enforced at i = 12 while the density is normalized at each iteration. It has been cross-checked that the compensation of losses has no influence on the final solution and therefore the runaway rate. Indeed, results normalized to the final numerical electron density found by the code, or normalized at each time step are similar.

In a first step, a local analysis is performed, without considering bounce averaging. Here, only the Maxwellian electron-electron collision operator is considered, for allowing comparisons with analytical solutions, as shown in 7.3





ZeffΓR [DKE code]ΓR [Kulsrud et al.]



1 2.8487 × 10-4 3.177 × 10-4



2 1.5904 × 10-4 1.735 × 10-4



5 9.6565 × 10-5 1.047 × 10-4



10 8.1878 × 10-6 9.0 × 10-6




Table 7.3: Runaway rate as function of the effective charge using the Maxwellian e-e collision model

The agreement between numerical results obtained with the drift kinetic code and the code written by Kulsrud and coauthors is reasonably good [?], a modest systematic difference of -15% being observed for all Zeff values. For Zeff = 1, the agreement is slightly better with the model of Kruskal-Bernstein [?], and the relative difference is now positive and less than 7%. The role played by the numerical grid is marginal, less than 1%. when np is varying from 88 to 125 or 165 while nξ0 is kept constant at 120.

The collision operator plays an important role in the value of ΓR. As shown in 7.4, using the Belaiev-Budker operator with first order Legendre correction leads to twice more runaways than expected by the model of Kruskal-Bernstein. The difference is even much larger with the model of Connor and Hastie [?]. It must be emphasized that the expression of Møller for the collision operator underestimate ΓR by 10% as compared to the high-velocity limit.




Collision model ΓR[Zeff = 1,E∕ED = 0.08]


Maxwellian (DKE) 2.27 × 10-4


High-velocity limit (DKE) 2.10 × 10-4


Belaiev-Budker (DKE) 3.94 × 10-4


Møller ultrarelativistic (DKE)1.99 × 10-4


Kruskal-Bernstein 2.67 × 10-4


Connor-Hastie 1.00 × 10-4



Table 7.4: Runaway rate as function of the collision model. Calculations are performed with bounce-averaging, which reduce ΓR by 21% as compared to data given in Table 7.3, for similar plasma parameters.

A full 3 - D calculation has been performed with flat profiles at normalized radial positions on the spatial flux grid [0.2,0.4,0.6,0.8], giving the following radial positions ρ = [0.14142,0.31623, 0.5099,0.70711,0.90554]. In that case, the code calculates itself the pitch-angle grid and the number of step is now nξ0 = 168, while np = 125.The runaway rate is found to be independent of the method of calculations, and the Kruskal-Bernstein is well recovered when Zeff = 1 at all plasma radii. In Fig.7.2 , and example of a runaway distribution at Bmin is given, for ρ = 0.31623. The trapped domain is large, and the region where the electric field may accelerate fast electrons above the Dreicer limit is quite narrow in pitch-angle. The stream lines given in Fig.7.3 along with electrons are moving in the momentum space show the clear boundary between close loops for regular electrons that remain in the integration domain because of collisions, and the open loops, for runaways that continuously accelerated by the Ohmic electric field up to the integration domain.


cmcmcmPIC

Figure 7.2: Contour plot of the electron distribution function at ϵ = 0.31623



cmcmcmPIC

Figure 7.3: Contour plot of the stream lines at ϵ = 0.31623


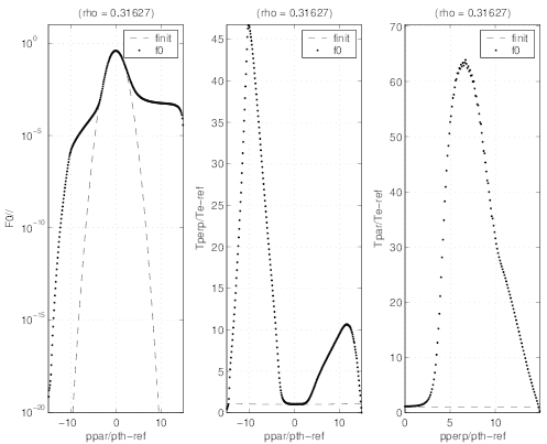
In Fig. 7.4, the parallel component of the electron distribution function

                 ∫
   (0)(    )        ∞  (0)(       )
F ∥0  ψ,p ∥ = 2π  0  f0   ψ,p∥,p⊥  p⊥dp⊥
(7.4)

the normalized perpendicular temperature T(    )
 ψ,p∥ = T(    )
 ψ,p∥∕Te where

   (    )     ∫∞   (0)(     )  3
T⊥  ψ,p∥  = 1-∫0-f0--(p∥,p⊥)-p⊥dp⊥-
            2  ∞0 f0(0) p∥,p⊥  p⊥dp⊥
(7.5)

and the parallel one T(ψ,p⊥) = T(ψ,p⊥)∕Te defined as

            ∫∞  f (0)(p∥,p⊥) p2dp∥
T∥ (ψ, p⊥) = --∫∞--0---(-----)-∥---
              ∞-∞ f0(0) p∥,p⊥  dp∥
(7.6)

are also given to illustrate the deformations of the electron distribution function with respect to the Maxwellian shape.


cmcmcmPIC

Figure 7.4: Parallel projection, parallel and perpendicular temperatures of the electron distribution function at ϵ = 0.31623


Bounce averaged calculations have be performed first locally. As shown in Fig. 7.5, it is observed ΓR decreases with the inverse aspect ratio ϵ. The influence of toroidicity on Dreicer generation, which is not predicted by the theory of Gurevitch [?], is in good agreement with never published calculations using the CQL3D code. The explanation for such an effect is quite complex, since it arises from the combination of the poloidal dependence of the electric field value and the fact that trapped electrons do not contribute to the runaway generation process. As shown in Sec. 3.6, the electric field on the low magnetic field side is lower than the flux surface value, while it is larger on the high field side, by a ratio R0∕R for circular concentric magnetic flux surfaces. So we could expect that these electrons are more efficiently accelerated along bthe magnetic field line. But since they are close to trapped/passing boundary, their probability to be trapped before reaching the Dreicer limit is fairly high, and therefore, the density close to the Dreicer boundary is likely significantly lowered. Consequently, the relative reduction of the runaway rate

       --      --
  --   Γ-R(ϵ)--Γ-R(ϵ-=-0)
Δ Γ R =    Γ R(ϵ = 0)
(7.7)

must be roughly given by a factor proportional to the effective fraction of trapped electron Fteff., since not only trapped but also barely trapped electron dynamics are concerned. A fit of the numerical results confirms this coarse analysis, since

  --        ∘ -----
Δ Γ R ≃ - 1.2 -2ϵ--
              1 + ϵ
(7.8)

for ϵ 0.53 and limϵ0ΔΓR(ϵ) 1.7√ ϵ ≃-1.16F teff.2. This result is important, since it indicates that runaway generation is nearly cancelled when the inverse aspect ratio is larger than ϵ 0.5. The trapped particles have therefore a beneficial effect by preventing runaways, that may cause severe damages to machine walls in case of disruptions.

Similar results are obtained in 3 - D mode, whatever the normalization reference of the electric field, at the plasma center, or at the local position. As expected, the runaway rate ΓR is nearly independent of the sign of the electric field, and moreover, but also of the method (analytical or numerical) for calculating the bounce integrals. The relative accuracy which is less than 1% close to the plasma center, tends to decrease down to 50% at the plasma edge, but since ΓR is very small the error has only a weak influence3.


cmcmcmPIC

Figure 7.5: Normalized Ohmic runaway rate as function of the inverse aspect ratio ϵ


Once more, this demonstrates that numerical calculations of the bounce integrals is very accurate, even for finite inverse aspect ratio. The drop tolerance has been lowered in that case to 10-4 for ensuring a stable convergence, leading to a modest increase of the matrix sizes. However the rate of convergence is not affected, and the final result is obtained usually after 11 - 13 iterations, even when several radial positions are considered.

Secondary generation The problem of secondary runaway generation is*****