7.5 Fast electron radial transport

This simulation is here presented to illustrate code capabilities for a realistic magnetic configuration and a hot deuterium plasma. It corresponds to a typical JET Lower Hybrid current drive discharge, where both bounce-averaging and fast electron particle transport are considered. Global parameters of the discharge are gathered in section “JET” of the tokamak parameter M-file “ptok_dke_1yp.m”.

As shown in Fig.7.22 , the spatial ψ half-grid, on which the electron distribution function is calculated, is non-uniform, though grid steps Δρ for the normalized radius defined in Sec. 2.1 are constant for this example. The spatial mesh size for f0(0) has nψ - 1 = 14 points, which is the typical number of spatial grid points considered in most of the current drive simulations. The corresponding pitch-angle grid is strongly non uniform, as indicated in Fig.7.23, since trapped/passing boundaries corresponding to all radial positions are exactly placed on the flux grid in momentum space. The total number of pitch-angle points for f0(0) is nξ0 - 1 = 206. Finally the momentum grid is also taken no uniform with np - 1 = 210 points. As shown in Fig.7.24 the momentum grid is first nearly uniform in the vicinity of p = 0 for the first twenty points, with a small step Δp 0.07 , as indicated in Fig. 7.25. For p 1.5, the grid is also uniform, but with larger momentum step Δp 0.15. The smooth transition between the two grids involves 7 grid points.


cmcmcmPIC

Figure 7.22: Radial grid for 3-D JET current drive simulation. Circles correspond to the normalized poloidal flux coordinate ψ, while crosses correspond to normalized radius ρ



cmcmcmPIC

Figure 7.23: Pitch-angle grid for 3-D JET current drive simulation.



cmcmcmPIC

Figure 7.24: Momentum grid for 3-D JET current drive simulation.



cmcmcmPIC

Figure 7.25: Momentum grid step for 3-D JET current drive simulation. Circles correspond to the flux grid, while stars to the distribution function half-grid


Temperature and density profiles used as input for the magnetic equilibrium calculations done by HELENA code are presented in Fig. 7.26. As usual in current drive regime at low density, the electron temperature profile is peaked, and its value is much larger than ion temperature. The dominant ion (deuterium) profile is determined selfconsistently from the electron density and effective charge profiles, the latter being taken flat at a level of Zeff = 1.5. In the calculations which are based on electroneutrality, only one fully stripped impurity is considered, i.e. carbon Zs = 6, in order to avoid the use of an impurity transport code. The resulting 2 - D contour plot of the magnetic poloidal flux surfaces is given in Fig. 7.27, for a configuration with a bottom X-point close to the divertor. Here, calculations are performed for a monotonic safety factor profile.


cmcmcmPIC

Figure 7.26: Ion and electron temperature and density profiles, and effective charge profile used for calculating the JET magnetic equilibrium with HELENA. Here hydrogen and tritium densities are zero (pure deuterium plasma) . The poloidal flux coordinate ψ as function of the normalized radius ρ in the equatorial mid-plane corresponds to the magnetic equilibrium code output



cmcmcmPIC

Figure 7.27: 2 - D contour plot of the poloidal magnetic flux surfaces as calculated for JET tokamak by the code HELENA


In the calculations, fully relativistic corrections are considered. In Fig.7.28, the deviation from the relation v = p clearly indicates that relativistic corrections come into play when p 44. Consequently, since a simplified expression for the Lower Hybrid quasilinear diffusion operator is considered, as described in Appendix D.2.8 and used in Sec. 7.3, boundary values of the resonance domain which correspond to (v1 = 3.5,v2 = 6) exhibit strong curvature as a function of p, as shown in Fig. 7.29. In order to simulate a spatialy localized off-axis absorption of the RF power, the quasilinear diffusion coefficient D0,newLH(ψ,p)is defined as

                                    ⌊  (         )2⌋
--             --          √ ----        ρ- ρpeak
DLH0,new (ψ,p) = DL0H,new (0,p) 2-√ln2 exp|⌈ --(---LH)---|⌉
                             π            -Δ√ρLH- 2
                                          2  ln2
(7.12)

where D0,newLH(0,p) = 1 in the interval v1 vv2, and ρLHpeak = 0.5 is the radial position at which absorption is maximum, and ΔρLH = 0.2 the half-width. For ρ 0.2 and ρ 0.65, power absorption is null.


cmcmcmPIC

Figure 7.28: Momentum dependence of the relativistic Maxwellian distribution function at ρ 0.36, and relation between velocity v and momentum p. The deviation from the main diagonal indicates that above p = 4, relativistic effects become important



cmcmcmPIC

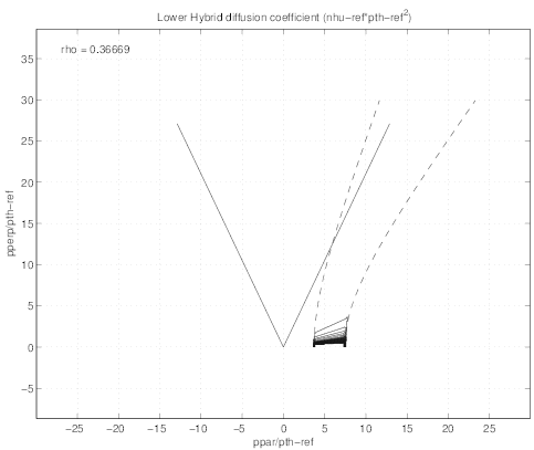
Figure 7.29: 2 - D contour plot in momentum space of the Lower Hybrid quasilinear diffusion cofficient at ρ 0.36. The relativistic curvature of the lower bound of the resonance domain avoid intersection with the region of trapped electrons. The two full straight lines correspond to trapped/passing boundaries at that radial position


Fast electron radial transport that could result from magnetic turbulence is expressed in the usual form

  (0)          (0)        (|| ||     )(||  ||     )
D ψ (ψ, p) = D ψ (0,p)H  v∥ -  v∥c   v∥ - v∥c ∕v∥c
(7.13)

where Dψ(0) is the radial diffusion coefficient as defined in Sec.6.3. Here, Dψ(0) scales like ||  ||
 v∥ as expected from theory [?], with a velocity threshold which is set to 3.5. The simulation is performed with Dψ(0) = 5m2∕s, its value and the threshold level being uniform throughout the plasma, while any convection is neglected. The 2 -D contour plot of the Dψ(0) is shown in Fig. 7.30


cmcmcmPIC

Figure 7.30: On the left side, 2 - D contour plot of the radial diffusion rate at ρ 0.36. The velocity threshold corresponds to a kinetic energy of 35 keV approximately in the MKSA units. On the right side, the velocity dependence of Dψ(0) at ξ0 = 1


The 3 - D simulation is performed in the fully implicit mode with usual parameters, i.e. Δt = 10000, using the linearized electron-electron Belaiev-Budker collision operator for momentum conservation. While the time taken to calculate all matrix coefficients associated to momentum dynamics is extremely fast, of the order of 120s5, since calculations may be performed in a vectorial form that is very convenient for MatLab, coefficients for radial transport needs a much longer computer time is this version of the code, typically an order of magnitude more. This limitation results from the fact that loops have been used in MatLab as a consequence of the complexity of the coefficients arrangement in the matrix related to the change of the trapped/passing boundary with radial position. In that case, a specific MEX-file written in C or FORTRAN should considerably reduce time consumption, at a level comparable to the one needed for calculating the coefficients which result from momentum dynamics.

In the case of full 3 - D calculation, the Maxwellian solution is imposed at i = 12. Though this condition is not necessary in principle, it turns out to increase matrix conditionning, and reduce significantly the memory required to store LU matrices. However, no normalization of the density at each time step is performed. Consequently, the drop tolerance for incomplete LU matrix factorization may be increased from 10-4 to 10-3 as compared to the case without radial transport, a important advantage since it reduces considerably computer time consumption for performing the incomplete factorization6. On a Compaq workstation, the characteristic time used for this calculation is around 1500s, and the memory required to store LU matrices is 214MBytes in the example here studied.

Once LU matrices are calculated, the convergence is very fast. it is achieved after 6 iterations, corresponding to the minimum value required for a correct convergence with the explicit momentum conservation term (first Legendre truncated term) as discussed in Sec.6.2.2. As shown in Fig.7.31, the code is fully conservative, within less than 1%.


cmcmcmPIC

Figure 7.31: Relative particle conservation of the drift kinetic code for the 3 - D JET Lower Hybrid current drive simulation


While the absorbed RF power density profile given in Fig.7.32 shows a localized peak around ρ = 0.5, the current density profile is much broader, as indicated in Fig.7.33. In the direction of the plasma center, the broadening effect is weak, since collisional slowing down prevails over radial transport when density is high. Towards plasma edge, the effect of radial transport is much more visible, and for ρ 0.6, all the fast electrons are driven by this mechanism instead of direct kinetic resonance. The effect of plasma magnetic equibrium on radial transport is fully considered in the calculations.


cmcmcmPIC

Figure 7.32: Flux surface averaged power density profiles for collision, RF and Ohmic electric field absorption for the 3 - D JET Lower Hybrid current drive simulation.



cmcmcmPIC

Figure 7.33: Flux surface averaged current density profiles for the 3 - D JET Lower Hybrid current drive simulation.


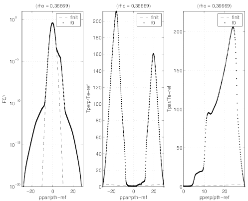
Comparison between distributions at radial positions where RF absorption peaks (Figs.7.34 and 7.35) and in the region where radial transport predominates (Figs.7.36 and 7.37) clearly shows the difference of dynamics in momentum space. While a plateau is clearly formed at ρ 0.36, the distribution exibits a bump at ρ 0.78. There are nevertheless some reminiscence of the Lower Hybrid quasilinear resonance boundaries. In all figures, the output of the code is clean from numerical instabilities, even far from the resonance domain, which confirms the robustness of the numerical scheme here employed for 3 - D calculations.


cmcmcmPIC

Figure 7.34: 2 -D contour plot of the electron distribution function at ρ 0.36 for JET Lower Hybrid current drive



cmcmcmPIC

Figure 7.35: Electron distribution function averaged over the perpendicular momentum direction at ρ 0.36 for JET Lower Hybrid current drive. The perpendicular and parallel temperatures are also shown



cmcmcmPIC

Figure 7.36: 2 -D contour plot of the electron distribution function at ρ 0.78 for JET Lower Hybrid current drive



cmcmcmPIC

Figure 7.37: Electron distribution function averaged over the perpendicular momentum direction at ρ 0.78 for JET Lower Hybrid current drive. The perpendicular and parallel temperatures are also shown


Finally, it is important to mention that the power density absorbed by collisions is much broader than the RF contribution, as shown in Fig. 7.32. Since radial fast electron transport makes the current response non-local, in that case the current drive efficiency may be only defined as the ratio of the total current driven by the wave and the total RF absorbed power in the plasma.