7.6 Fast electron magnetic ripple losses

This simulation is here again presented to illustrate code capabilities for a realistic magnetic configuration and a hot plasma. The problem addressed corresponds to fast electron losses in magnetic ripple, between two consecutive toroidal magnetic field coils. The case studied correponds only for the Tore Supra tokamak, which exhibits a very large magnetic ripple on the outer plasma edge, of the order of 7% [?]. Though the description of the physical process is not fully consistent with the basic assumptions of the code, and the bounce-averaged theory especially, calculations are expected to give valuable informations of the loss rate profile.

Simulations parameters are exactly those used in Sec.7.5 for fast electron transport studies, except that the magnetic configuration corresponds to the tokamak Tore Supra which has a circular plasma cross-section, and that fast electron radial transport is here neglected. Moreover, the magnetic ripple losses are modelized by a characteristic loss (drift) time νdST-1 = 1000 inside the supertrapped domain bounded by |ξ0|ξ0ST and p pc as discussed in Sec.3.6.

Temperature and density profiles used as input for the magnetic equilibrium calculations done by HELENA code are presented in Fig. 7.38. As usual in current drive regime at low density, the electron temperature profile is peaked, and its value is much larger than ion temperature. The dominant ion (deuterium) profile is determined selfconsistently from the electron density and effective charge profiles, the latter being taken flat at a level of Zeff = 1.5. In the calculations which are based on electroneutrality, only one fully stripped impurity is considered, i.e. carbon Zs = 6, in order to avoid the use of an impurity transport code. The resulting 2 - D contour plot of the magnetic poloidal flux surfaces is given in Fig. 7.39, where the Shafranov shift is clearly visible. Here, calculations are performed for a monotonic safety factor profile, like for the JET case discussed in the previous section.


cmcmcmPIC

Figure 7.38: Ion and electron temperature and density profiles, and effective charge profile used for calculating the Tore Supra magnetic equilibrium with HELENA. Here hydrogen and tritium densities are zero (pure deuterium plasma) . The poloidal flux coordinate ψ as function of the normalized radius ρ in the equatorial mid-plane corresponds to the magnetic equilibrium code output



cmcmcmPIC

Figure 7.39: 2 - D contour plot of the poloidal magnetic flux surfaces as calculated for Tore Supra tokamak by the code HELENA


In order to be concerned by more energetic electrons in this simulation, the Lower Hybrid quasilinear resonance domain is slightly at higher energy, i.e. (v1 = 4,v2 = 7), with the same radial profile dependence of D0,newLH(ψ,p ) as discussed in Sec. 7.5. The RF power absorption takes place close to ρ 0.4 as shown in Fig.7.40. In this case, the current density and RF power absorption profiles are aligned, since the physics is basically local (slowing-down).


cmcmcmPIC

Figure 7.40: Flux surface averaged current density profiles for the 3-D Tore Supra Lower Hybrid current drive simulation.


As shown in Fig. 7.41, the fact electron loss rate exhibits a clear peak at ρ 0.7, as observed experimentaly. The 3 - D calculations reproduce therefore correctly the profiles given by previous studies with a 2 - D Fokker-Planck code [?]. In addition, the two methods used to evaluate the magnetic ripple loss rate profile, as discussed in Sec.3.6 gives very similar quantitative results, that makes the code very reliable concerning this problem.


cmcmcmPIC

Figure 7.41: Magnetic ripple loss rate profile for Tore Supra tokamak in Lower Hybridcurrent drive regime, as calculated by two different methods (see the text for more details)


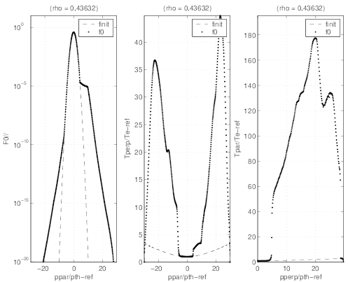
The detailed dynamics in momentum space is given by the 2 -D contour plot. As shown in Fig.7.42 at the radial position ρ 0.44, the supertrapped domain defined by |ξ0|ξ0ST in which electrons are considered as lost lies well inside the domain where electrons are trapped |ξ0| ξ0T . The collisional detrapping threshold is approximately pc = 5 at the local density here presented. The effect of the magnetic ripple losses may be clearly seen on the distribution function f0(0) which drops dramatically above pc provided |ξ0|ξ0ST . It is important to show that outside from this domain, the electron distribution function is nearly similar to the one without magnetic ripple losses. This is particularly clear in Fig.7.43. This confirms that losses are very small, and this is the reason why the code remains globally conservative at each radial location.


cmcmcmPIC

Figure 7.42: 2 -D contour plot of the electron distribution function at ρ 0.44 for Tore Supra Lower Hybrid current drive



cmcmcmPIC

Figure 7.43: Electron distribution function averaged over the perpendicular momentum direction at ρ 0.44 for Tore Supra Lower Hybrid current drive. The perpendicular and parallel temperatures are also shown